R Root Function

The sqrt r function computes the square root of a numeric data object. Sqrt is a mathematical function in r which is helpful to find the square root of the values of a vector. Examples 1 and 2 illustrate the basic application of sqrt and examples 3 4 and 5 show some typical warnings and errors that can occur when sqrt is applied in a wrong way.
r root function

lazy


Vce Mathematical Methods Units 1 And 2 6a Square Root Function
sites.google.com
lazy


Root Mean Squared Rms Errors As A Function Of S 2 With R 10 R S Download Scientific Diagram
www.researchgate.net
lazy


Water Optimal Root Depth Z R Mm As A Function Of Precipitation Download Scientific Diagram
www.researchgate.net
lazy


How To Find The Square Root In R Hd Youtube
www.youtube.com
lazy


Example Of Curve Fitting To Obtain The Root Elongation Rate Parameter Download Scientific Diagram
www.researchgate.net
lazy


Answered 10 The Function G X Vi 3 2 Bartleby
www.bartleby.com

Iter and estimprec give the number of iterations used and an approximate estimated precision for root.

R root function. Isrooted tests whether a tree is rooted. For this r square root example we use the below shown csv data. Compute the real n th root of real numbers.

Nthrootx n arguments x numeric vector or matrix n positive integer specifying the exponent 1n. The sqrt function also allows you to find the square roots of column values. R sqrt function example 4.

In this example we are going to find the square root of all the records present in standard cost and sales amount columns using sqrt function. Root and froot give the location of the root and the value of the function evaluated at that point. If the root occurs at one of the endpoints the estimated precision is na.

Unroot unroots a phylogenetic tree or returns it unchanged if it is already unrooted. A list with at least four components. Computes the n th root real numbers of a numeric vector x while x1n will return nan for negative numbers even in case n is odd.

In the following article ill show you five examples for the application of sqrt in the r programming language. In this tutorial we will see how to find the square root of the number or a vector in various aspects. Getting a square root of the values in r is easy with the function sqrt in r.

Root reroots a phylogenetic tree with respect to the specified outgroup or at the node specified in node.

lazy


Cube Root Function By Raasia Aaneb
prezi.com
lazy


Explain Square Root Function With Graph
doubtnut.com
lazy


Radical Expression Statistics Exercise Docsity
www.docsity.com
lazy


Root Mean Square Fluctuation Se V R As A Function Of Scale R The Download Scientific Diagram
www.researchgate.net
lazy


Fit A Square Root Function With Basic R Stack Overflow
stackoverflow.com
lazy


Competing Neighbors Light Perception And Root Function Springerlink
link.springer.com
lazy


Square Root Wikipedia
en.wikipedia.org
lazy


Solved B In Problems 27 34 Describe How The Graph Of Eac Chegg Com
www.chegg.com
lazy


R Sqrt Function
www.tutorialgateway.org
lazy


Find The Derivative Of Function W R T The Respective Independent Variable Q Square Root Of 2r R 2 Brainly In
brainly.in
lazy


Root System Hydraulic Conductivity Lp R As A Function Of Root Download Scientific Diagram
www.researchgate.net
lazy


The Square Root Of The First Eigenvalue As A Function Of E When R X Download Scientific Diagram
www.researchgate.net
lazy


Top Pdf Square Root Function 1library
1library.net
lazy


Cube Root Wikipedia
en.wikipedia.org
lazy


Square Root In R 5 Example Codes Sqrt Function Explained In R Studio
statisticsglobe.com
lazy


Square Root Wikipedia
en.wikipedia.org
lazy


The Graph Of A Radical Function Algebra 1 Radical Expressions Mathplanet
www.mathplanet.com
lazy


Square Root Function
www.mathsisfun.com
lazy


The Square Root Of The First Eigenvalue As A Function Of E When R X Download Scientific Diagram
www.researchgate.net
lazy


Find The Domain And The Range Of The Square Root Function F R Uu 0 Tor F X Sqrtx Fol All Youtube
www.youtube.com
lazy


Solved In Fig 3 16 The Load Varies As A Square Root Fun Chegg Com
www.chegg.com
lazy


Mathematical Functions Functions R Python Import Math And Numpy Library Sum Sum X Math Fsum X
br.pinterest.com
lazy


Ws 6 3 Square Root Functions And Inequalities Math Algebra 2 Showme
www.showme.com
lazy


Answers To Math Exercises Math Problems Power And Root Function
www.math-exercises.com
lazy


Graphing Square Root And Cube Root Functions Part 1 Youtube
www.youtube.com
lazy


The Square Root And Power Functions
mathonweb.com
lazy


Little Useless Useful R Function Psychedelic Square Root With X11 R Bloggers
www.r-bloggers.com
lazy


The Graph Of The Quadratic Function Translation Of The Principal Square Root Function In The Direction Of The X Axis
www.nabla.hr
lazy


Data Science In Insurance An R Intro
katrienantonio.github.io
lazy


Sqrt Function How To Use Square Root Function In Excel
tipsmake.com
lazy


Transforming The Square Root Function Video Khan Academy
www.khanacademy.org
lazy


Square Root Of The Height Height Correlation Function G 1 2 R Of A Download Scientific Diagram
www.researchgate.net
lazy


My Three Favorite Worksheets Root Finding In Mathcad Mathcad
www.mathcad.com
lazy


R Get Nodes From Root To Leaves Of A Tree Model Stack Overflow
stackoverflow.com
lazy


Inverse Of Square Root Parent Function Youtube
www.youtube.com
lazy


Https Encrypted Tbn0 Gstatic Com Images Q Tbn And9gcqmdygagyw18rb7qkcm1tioce6sdyjk3gsfvdikq47ejtdeteg9 Usqp Cau
encrypted-tbn0.gstatic.com
lazy


Solved Find The Derivative Of The Function Y R Square Chegg Com
www.chegg.com
lazy


R Sqrt Function
www.tutorialgateway.org
lazy


Video Determining The Domain Of A Function Involving Square Roots Nagwa
www.nagwa.com
lazy


Solved 3 A Log Function Versus Root Function Use Desmo Chegg Com
www.chegg.com
lazy


Left The Graph Of The Mean Displacement R As A Function Of The Download Scientific Diagram
www.researchgate.net
lazy


6 3 Square Root Functions And Inequalities Youtube
www.youtube.com
lazy


A Amplitude R With A Square Root Fit And B Crankshafting Download Scientific Diagram
www.researchgate.net
lazy


Square Root And Cube Root Functions Mathbitsnotebook A1 Ccss Math
mathbitsnotebook.com
lazy


Sketch The Graphs Of The Functions F X Square R Chegg Com
www.chegg.com
lazy


Graphing Square Root Functions Doodle Graphic Organizer By Algebrasaurus
www.teacherspayteachers.com
lazy


Square Root Function Manuella And Briana R Function Project
sites.google.com
lazy


Https Encrypted Tbn0 Gstatic Com Images Q Tbn And9gcsnc9wdqqfqg W3tn Jpoybmn8e Mmdyxl Xctsdefl4octaxy Usqp Cau
encrypted-tbn0.gstatic.com
lazy


Square Root In R 5 Example Codes Sqrt Function Explained In R Studio
statisticsglobe.com
lazy


The Graph Of A Radical Function Algebra 1 Radical Expressions Mathplanet
www.mathplanet.com
lazy


Domain Of Inverse Function Expii
www.expii.com
lazy


Quadratic And Square Root Inverse Relationships With Restrictions Ppt Download
slideplayer.com
lazy


Square Root And Cube Root Functions Mathbitsnotebook A1 Ccss Math
mathbitsnotebook.com
lazy


Properties Of The R Th Root Ranking Loss A Loss Function L R Its Download Scientific Diagram
www.researchgate.net
lazy


Solved Find The Domain And Range Of The Function G Z Chegg Com
www.chegg.com
lazy


Solved In Exercises 67 80 Begin By Graphing The Square R Chegg Com
www.chegg.com
lazy


Warm Up Graph Square Root And Cube Functions Section 6 5 Essential Question What Do The Graphs Of Square Root And Cube Root Functions Look Like Assessment Ppt Download
slideplayer.com
lazy


Lesson 6 5 Application Of Square Root Function Youtube
www.youtube.com
lazy


Section 10 1 Day 1 Square Root Functions Ppt Download
slideplayer.com
lazy


Answered O Graphs And Functions Evaluating A Bartleby
www.bartleby.com
lazy


Solved Question 7 Begin By Graphing The Standard Square R Chegg Com
www.chegg.com
lazy


A Panel 1 Coefficient Function C 1 A B Panel 1 Root Function Download Scientific Diagram
www.researchgate.net
lazy


Solved R Is Called A Root The Newton Raphson Is An Algo Chegg Com
www.chegg.com
lazy


Numeric And Character Functions In R Explore Inbuilt Functions With Examples Techvidvan
techvidvan.com
lazy


Square Root Function Graphs Do You Remember The Parent Function D 0 R 0 What Causes The Square Root Graph To Transform A 1 Stretches Vertically Ppt Download
slideplayer.com
lazy


Square Root And Absolute Functions By Mr Porter Ppt Video Online Download
slideplayer.com
lazy


Functional Square Root Wikipedia
en.wikipedia.org
lazy


The Graph Of A Radical Function Algebra 1 Radical Expressions Mathplanet
www.mathplanet.com
lazy


Root Rootr Users Guide
root.cern.ch
lazy


Solved 4 The Function Sqrt Provides The Square Root O Chegg Com
www.chegg.com
lazy


Solved 9 Parametrize Ct 0 With Z T Cost Isint Fo Chegg Com
www.chegg.com
lazy


Answers To Math Exercises Math Problems Power And Root Function
www.math-exercises.com
lazy


Root System Hydraulic Conductivity Lp R As A Function Of Width Download Scientific Diagram
www.researchgate.net
lazy


Graphs Of Radical Functions Ppt Video Online Download
slideplayer.com
lazy


Pin By Mery Mariduea A On Math Radical Equations Absolute Value Equations Equations
www.pinterest.com
lazy


Solved Square Root Functions Instruction Active Try It Gr Chegg Com
www.chegg.com
lazy


Specific Respiration Rate Of The Root Rroot As A Function Of The Root Download Scientific Diagram
www.researchgate.net
lazy


Domain And Range Of A Square Root Function Mov Youtube
www.youtube.com
lazy


Roots And Radicals
saylordotorg.github.io
lazy


Solved Find The Inverse Of The Function 2 F X Cube R Chegg Com
www.chegg.com
lazy


R Sqrt Function
www.tutorialgateway.org
lazy


Emoji Square Root Functions Transformation Of Square Root Functions Function Of Roots Square Roots Cooperative Learning
www.pinterest.com
lazy


Transforming The Square Root Function Video Khan Academy
www.khanacademy.org
lazy


Coefficient Of Determination R 2 Between Root Dry Mass And Parallel Download Scientific Diagram
www.researchgate.net
lazy


Root Rootr Users Guide
root.cern.ch
lazy


Answers To Math Exercises Math Problems Power And Root Function
www.math-exercises.com
lazy


Ex 3 D Q4 Find The Domain And The Range Of The Cube Root Function F R R F X X1 3
school.gradeup.co
lazy


Solved Find The Average Rate Of Change Of The Function Ov Chegg Com
www.chegg.com
lazy


How To Use Sqrt In R To Find The Square Root Journaldev
www.journaldev.com
lazy


Square Root In R 5 Example Codes Sqrt Function Explained In R Studio
statisticsglobe.com
lazy


Square Root Functions And Inequalities
studylib.net
lazy


Finding Multiple Roots Of Univariate Functions In R R Bloggers
www.r-bloggers.com
lazy


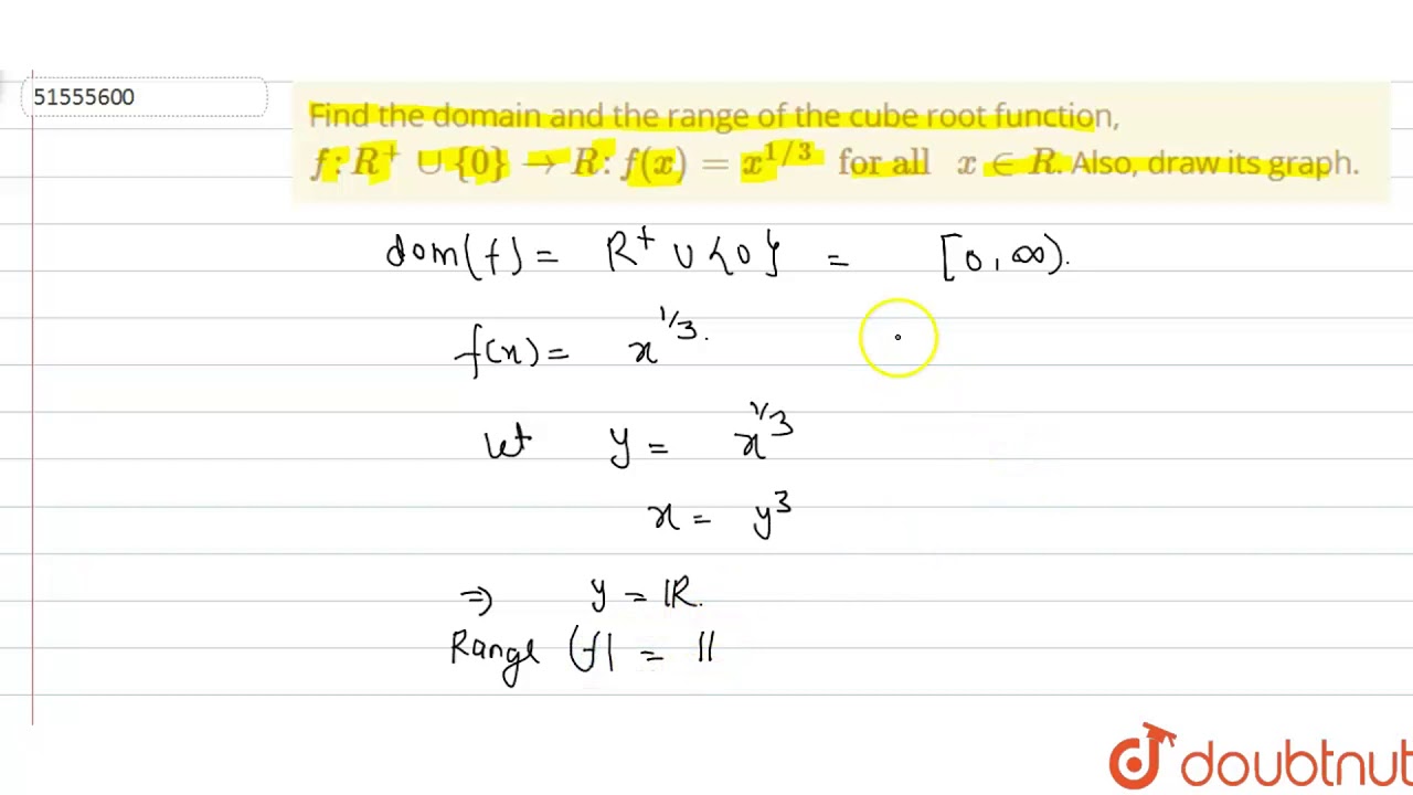
Find The Domain And The Range Of The Cube Root Function F R Uu 0 Tor F X X 1 3 For Youtube
www.youtube.com
lazy


Unit 4 Chapter 6 Rational Exponents And Radical Functions Catrine S Mathies
catrinenovihs.weebly.com
lazy


Solved 3 Let F Z Be The Principal Value Of The Square R Chegg Com
www.chegg.com
lazy


Intermediate Value Theorem Nth Root Function And Continuity Mathematics Stack Exchange
math.stackexchange.com

Random Posts